计算机科学
概述
参考:
- 王垠博客,解谜计算机科学
- Wiki 分类,Computer science(计算机科学)
- Wiki 分类,Computer programming(计算机编程)
- Wiki 分类,Programming language concepts(编程语言概念)
- Wiki 分类,Programming constructs(编程结构)
- Wiki 分类,Programming languages(编程语言)
- Wiki, Identifier(标识符)
- Wiki, DataType(数据类型)
- Wiki, Variables(变量)
- Wiki, Assignment(赋值)
- Wiki, Declaration(声明) 与 Definition(定义)
要掌握一个学科的精髓,不能从细枝末节开始。人脑的能力很大程度上受限于信念。一个人不相信自己的时候,他就做不到本来可能的事。信心是很重要的,信心却容易被挫败。如果只见树木不见森林,人会失去信心,以为要到猴年马月才能掌握一个学科。
所以我们不从 “树木” 开始,而是引导读者一起来探索这背后的“森林”,把计算机科学最根本的概念用浅显的例子解释,让读者领会到它们的本质。把这些概念稍作发展,你就得到逐渐完整的把握。你一开头就掌握着整个学科,而且一直掌握着它,只不过增添更多细节而已。这就像画画,先勾勒出轮廓,一遍遍的增加细节,日臻完善,却不失去对大局的把握。
一般计算机专业的学生学了很多课程,可是直到毕业都没能回答一个基础问题:什么是计算?这一章会引导你去发现这个问题的答案。不要小看这基础的问题,它经常是解决现实问题的重要线索。世界上有太多不理解它的人,他们走了很多的弯路,掉进很多的坑,制造出过度复杂或者有漏洞的理论和技术。
接下来,我们就来理解几个关键的概念,由此接触到计算的本质。
手指算术
每个人都做过计算,只是大部分人都没有理解自己在做什么。回想一下幼儿园(大概四岁)的时候,妈妈问你:“帮我算一下,4+3 等于几?” 你掰了一会手指,回答:7。当你掰手指的时候,你自己就是一台简单的计算机。
不要小看了这手指算术,它蕴含着深刻的原理。计算机科学植根于这类非常简单的过程,而不是复杂的高等数学。
现在我们来回忆一下这个过程。这里应该有一段动画,但现阶段还没有。请你对每一步发挥一下想象力,增加点 “画面感”。
- 当妈妈问你 “4+3 等于几” 的时候,她是一个程序员,你是一台计算机。计算机得到程序员的输入:4,+,3。
- 听到妈妈的问题之后,你拿出两只手,左手伸出四个指头,右手伸出三个指头。
- 接着你开始自己的计算过程。一根根地数那些竖起来的手指,每数一根你就把它弯下去,表示它已经被数过了。你念道:“1,2,3,4,5,6,7。”
- 现在已经没有手指伸着,所以你把最后数到的那个数作为答案:7!整个计算过程就结束了。
Identifier(标识符) 和 Model(模型)
这里的幼儿园手指算术包含着深刻的哲学问题,现在我们来初步体会一下这个问题。
当妈妈说 “帮我算 4+3” 的时候,4,+,3,三个字符传到你耳朵里,它们都是 Identifier(标识符),有的时候也称为 symbol(符号)。符号是 “表面” 的东西:光是盯着 “4” 和“3”这两个阿拉伯数字的曲线,一个像旗子,一个像耳朵,你是不能做什么的。你需要先用脑子把它们转换成对应的“模型”(model)。这就是为什么你伸出两只手,一只手表示 4,另一只表示 3。
这两只手的手势是 “可操作” 的。比如,你把左手再多弯曲一个手指,它就变成 “3”。你再伸开一根手指,它就变成“5”。所以手指是一个相当好的机械模型,它是可以动,可操作的。把符号“4” 和“3”转换成手指模型之后,你就可以开始计算了。
你怎么知道 “4” 和“3”对应什么样的手指模型呢?因为妈妈以前教过你。十根手指,对应着 1 到 10 十个数。这就是为什么人都用十进制数做算术。
我们现在没必要深究这个问题。我只是提示你,分清 “符号” 和“模型”是重要的。
计算图
在计算机领域,我们经常用一些抽象的图示来表达计算的过程,这样就能直观地看到信息的流动和转换。这种图示看起来是一些形状用箭头连接起来。我在这里把它叫做 “计算图”。
对于以上的手指算术 4 + 3,我们可以用下图来表示它:

图中的箭头表示信息的流动方向。说到 “流动”,你可以想象一下水的流动。首先我们看到数字 4 和 3 流进了一个圆圈,圆圈里有一个“+” 号。这个圆圈就是你,一个会做手指加法的小孩。妈妈给你两个数 4 和 3,你现在把它们加起来,得到 7 作为结果。
注意圆圈的输入和输出方向是由箭头决定的,我们可以根据需要调整那些箭头的位置,只要箭头的连接关系和方向不变就行。它们不一定都是从左到右,也可能从右到左或者从上到下,但 “出入关系” 都一样:4 和 3 进去,结果 7 出来。比如它还可以是这样:

我们用带加号的圆圈表示一个 “加法器”。顾名思义,加法器可以帮我们完成加法。在上个例子里,你就是一个加法器。我们也可以用其他装置作为加法器,比如一堆石头,一个算盘,某种电子线路…… 只要它能做加法就行。
具体要怎么做加法,就像你具体如何掰手指,很多时候我们是不关心的,我们只需要知道这个东西能做加法就行。圆圈把具体的加法操作给 “抽象化” 了,这个蓝色的圆圈可以代表很多种东西。抽象(abstraction)是计算机科学至关重要的思维方法,它帮助我们进行高层面的思考,而不为细节所累。
Expression(表达式)
计算机科学当然不止 4 + 3 这么简单,但它的基本元素确实是如此简单。我们可以创造出很复杂的系统,然而归根结底,它们只是在按某种顺序计算像 4 + 3 这样的东西。
4 + 3 是一个很简单的表达式(expression)。你也许没听说过 “表达式” 这个词,但我们先不去定义它。我们先来看一个稍微复杂一些的表达式:
这个表达式比 4 + 3 多了一个运算,我们把它叫做 “复合表达式”。这个表达式也可以用计算图来表示:

你知道它为什么是这个样子吗?它表示的意思是,先计算 4 + 3,然后把结果(7)传送到一个 “乘法器”,跟 2 相乘,得到最后的结果。那正好就是 2 * (4 + 3) 这个表达式的含义,它的结果应该是 14。
为什么要先计算 4 + 3 呢?因为当我们看到乘法器 2 * ... 的时候,其中一个输入(2)是已知的,而另外一个输入必须通过加法器的输出得到。加法器的结果是由 4 和 3 相加得到的,所以我们必须先计算 4 + 3,然后才能与 2 相乘。
小学的时候,你也许学过:“括号内的内容要先计算”。其实括号只是 “符号层” 的东西,它并不存在于计算图里面。我这里讲的“计算图”,其实才是本质的东西。数学的括号一类的东西,都只是表象,它们是符号或者叫“语法”。从某种意义上讲,计算图才是表达式的本质或者“模型”,而“2 * (4 + 3)” 这串符号,只是对计算图的一种表示或者 “编码”(coding)。
这里我们再次体会到了 “符号” 和“模型”的差别。符号是对模型的 “表示” 或者“编码”。我们必须从符号得到模型,才能进行操作。这种从符号到模型的转换过程,在计算机科学里叫做“语法分析”(parsing)。我们会在后面的章节理解这个过程。
我们现在来给表达式做一个初步的定义。这并不是完整的定义,但你应该试着理解这种定义的方式。稍后我们会逐渐补充这个定义,逐渐完善。
定义(表达式):表达式可以是如下几种东西。
- 数字是一个表达式。比如 1,2,4,15,……
- 表达式 + 表达式。两个表达式相加,也是表达式。
- 表达式 - 表达式。两个表达式相减,也是表达式。
- 表达式 * 表达式。两个表达式相乘,也是表达式。
- 表达式 / 表达式。两个表达式相除,也是表达式。
注意,由于我们之前讲过的符号和模型的差别,为了完全忠于我们的本质认识,这里的 “表达式 + 表达式” 虽然看起来是一串符号,它必须被想象成它所对应的模型。当你看到 “表达式” 的时候,你的脑子里应该浮现出它对应的计算图,而不是一串符号。这个计算图的画面大概是这个样子,其中左边的大方框里可以是任意两个表达式。

是不是感觉这个定义有点奇怪?因为在 “表达式” 的定义里,我们用到了 “表达式” 自己。这种定义叫做“递归定义”。所谓递归(recursion),就是在一个东西的定义里引用这个东西自己。看上去很奇怪,好像绕回去了一样。递归是一个重要的概念,我们会在将来深入理解它。
现在我们可以来验证一下,根据我们的定义,2 * (4 + 3) 确实是一个表达式:
- 首先根据第一种形式,我们知道 4 是表达式,因为它是一个数字。3 也是表达式,因为它是一个数字。
- 所以
4 + 3是表达式,因为+的左右都是表达式,它满足表达式定义的第二种形式。 - 所以
2 * (4 + 3)是表达式,因为*的左右都是表达式,它满足表达式定义的第四种形式。
Parallel Computing(并行计算)
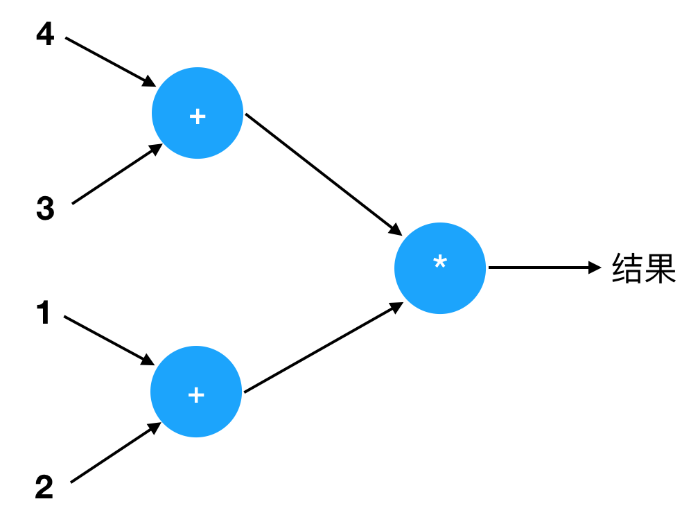
考虑这样一个表达式:
(4 + 3) * (1 + 2)
它对应一个什么样的计算图呢?大概是这样:
如果妈妈只有你一个小孩,你应该如何用手指算出它的结果呢?你大概有两种办法。
第一种办法:先算出 4+3,结果是 7。然后算出 1+2,结果是 3。然后算 7*3,结果是 21。
第二种办法:先算出 1+2,结果是 3。然后算出 4+3,结果是 7。然后算 7*3,结果是 21。
注意到没有,你要么先算 4+3,要么先算 1+2,你不能同时算 4+3 和 1+2。为什么呢?因为你只有两只手,所以算 4+3 的时候你就没法算 1+2,反之也是这样。总之,你妈妈只有你一个加法器,所以一次只能做一个加法。
现在假设你还有一个妹妹,她跟你差不多年纪,她也会手指算术。妈妈现在就多了一些办法来计算这个表达式。她可以这样做:让你算 4+3,不等你算完,马上让妹妹算 1+2。等到你们的结果(7 和 3)都出来之后,让你或者妹妹算 7*3。
发现没有,在某一段时间之内,你和妹妹_同时_在做加法计算。这种时间上重叠的计算,叫做并行计算(parallel computing)。
你和妹妹同时计算,得到结果的速度可能会比你一个人算更快。如果你妈妈还有其它几个孩子,计算复杂的式子就可能快很多,这就是并行计算潜在的好处。所谓 “潜在” 的意思是,这种好处不一定会实现。比如,如果你的妹妹做手指算数的速度比你慢很多,你做完了 4+3,只好等着她慢慢的算 1+2。这也许比你自己依次算 4+3 和 1+2 还要慢。
即使妹妹做算术跟你一样快,这里还有个问题。你和妹妹算出结果 7 和 3 之后,得把结果传递给下一个计算 7*3 的那个人(也许是你,也许是你妹妹)。这种 “通信” 会带来时间的延迟,叫做“通信开销”。如果你们其中一个说话慢,这比起一个人来做计算可能还要慢。
如何根据计算单元能力的不同和通信开销的差异,来最大化计算的效率,降低需要的时间,就成为了并行计算领域研究的内容。并行计算虽然看起来是一个 “博大精深” 的领域,可是你如果理解了我这里说的那点东西,就很容易理解其余的内容。
Variable(变量) 和 Assignment(赋值)
变量是与关联的符号名称(变量的标识符) 配对的存储位置(由内存地址标识)。这个存储地址其包含称为值的一些已知或未知数量的信息;变量的存储地址是通过一个名叫指针的东西来获取,也是值的一种,指针的值就是其所指向的变量的存储地址;注意:变量的存储地址的值与存储地址中包含的值是两个不同的东西。
变量是一个可以改变内容的固定标识符,比如我定义“这台电脑的名字”叫“XXX”,“这台电脑的名字”就是标识符(不变的内容),存在于计算机的某个位置,“XXX”就是可以改变的内容 i.e.变量的值,给不变的内容定义不同的内容
- 比如 X=1,X=2,X=3 等等,X 就是不变的,1,2,3 等等都是可变的,X 就是一个变量,可以被赋予某些内容
- 比如:LANG 是一个语言的规定,你赋予他一个内容,就相当于定义了这个环境下所显示的语言,比如 LANG=US,LANG=CN 等等。LANG 这叫定义语言,这是不变的,可变的是后面的自定义内容,语言(不变)= 英语,汉语,日语(可变)。
如果你有一个复杂的表达式,比如
(5 - 3) * (4 + (2 * 3 - 5) * 6)
由于它有比较多的嵌套,人的眼睛是难以看清楚的,它要表达的意义也会难懂。这时候,你希望可以用一些 “名字” 来代表中间结果,这样表达式就更容易理解。
打个比方,这就像你有一个亲戚,他是你妈妈的表姐的女儿的丈夫。你不想每次都称他 “我妈妈的表姐的女儿的丈夫”,所以你就用他的名字“叮当” 来指代他,一下子就简单了。
我们来看一个例子。之前的复合表达式
其实可以被转换为等价的,含有变量的代码:
{
a = 4 + 3 // 变量 a 得到 4+3 的值
2 * a // 代码块的值
}
其中 a 是一个名字。a = 4 + 3 是一个 “赋值语句”,它的意思是:用 a 来代表 4 + 3 的值。这种名字,计算机术语叫做 variable(变量)。
这段代码的意思可以简单地描述为:计算 4 + 3,把它的结果表示为 a,然后计算 2 * a 作为最后的结果。
有些东西可能扰乱了你的视线。两根斜杠 // 后面一直到行末的文字叫做 “注释”,是给人看的说明文字。它们对代码的逻辑不产生作用,执行的时候可以忽略。许多语言都有类似这种注释,它们可以帮助阅读的人,但是会被机器忽略。
这段代码执行过程会是这样:先计算 4 + 3 得到 7,用 a 记住这个中间结果 7。接着计算 2 * a ,也就是计算 2 * 7,所以最后结果是 14。很显然,这跟 2 * (4 + 3) 的结果是一样的。
a 叫做一个变量,它是一个符号,可以用来代表任意的值。除了 a,你还有许多的选择,比如 b, c, d, x, y, foo, bar, u21… 只要它不会被误解成其它东西就行。
如果你觉得这里面的 “神奇” 成分太多,那我们现在来做更深一层的理解……
再看一遍上面的代码。这整片代码叫做一个 “代码块”(block),或者叫一个 “序列”(sequence)。这个代码块包括两条语句,分别是 a = 4 + 3 和 2 * a。代码块里的语句会从上到下依次执行。所以我们先执行 a = 4 + 3,然后执行 2 * a。
最后一条语句 2 * a 比较特别,它是这个代码块的 “值”,也就是最后结果。之前的语句都是在为生成这个最后的值做准备。换句话说,这整个代码块的值就是 2 * a 的值。不光这个例子是这样,这是一个通用的原理:代码块的最后一条语句,总是这个代码块的值。
我们在代码块的前后加上花括号 {...} 进行标注,这样里面的语句就不会跟外面的代码混在一起。这两个花括号叫做 “边界符”。我们今后会经常遇到代码块,它存在于几乎所有的程序语言里,只是语法稍有不同。比如有些语言可能用括号 (...) 或者 BEGIN...END 来表示边界,而不是用花括号。
这片代码已经有点像常用的编程语言了,但我们暂时不把它具体化到某一种语言。我不想固化你的思维方式。在稍后的章节,我们会把这种抽象的表达法对应到几种常见的语言,这样一来你就能理解几乎所有的程序语言。
另外还有一点需要注意,同一个变量可以被多次赋值。它的值会随着赋值语句而改变。举个例子:
{
a = 4 + 3
b = a
a = 2 * 5
c = a
}
这段代码执行之后,b 的值是 7,而 c 的值是 10。你知道为什么吗?因为 a = 4 + 3 之后,a 的值是 7。b = a 使得 b 得到值 7。然后 a = 2 * 5 把 a 的值改变了,它现在是 10。所以 c = a 使得 c 得到 10。
对同一个变量多次赋值虽然是可以的,但通常来说这不是一种好的写法,它可能引起程序的混淆,应该尽量避免。只有当变量表示的 “意义” 相同的时候,你才应该对它重复赋值。
Data type(数据类型)
Data Type(数据类型) 用来对一组相关值进行分类,描述可对其执行的操作并定义它们的存储方式。通常也会称为 Literal(字面量)
Compile(编译)
一旦引入了变量,我们就可以不用复合表达式。因为你可以把任意复杂的复合表达式拆开成 “单操作算术表达式”(像 4 + 3 这样的),使用一些变量记住中间结果,一步一步算下去,得到最后的结果。
举一个复杂点的例子,也就是这一节最开头的那个表达式:
(5 - 3) * (4 + (2 * 3 - 5) * 6)
它可以被转化为一串语句:
{
a = 2 * 3
b = a - 5
c = b * 6
d = 4 + c
e = 5 - 3
e * d
}
最后的表达式 e * d,算出来就是原来的表达式的值。你观察一下,是不是每个操作都非常简单,不包含嵌套的复合表达式?你可以自己验算一下,它确实算出跟原表达式一样的结果。
在这里,我们自己动手做了 compiler(编译器) 的工作。通常来说,编译器是一种程序,它的任务是把一片代码“翻译” 成另外一种等价形式。这里我们没有写编译器,可是我们自己做了编译器的工作。我们手动地把一个嵌套的复合表达式,编译成了一系列的简单算术语句。
这些语句的结果与原来的表达式完全一致。这种保留原来语义的翻译过程,叫做 compile(编译)。
我们为什么需要编译呢?原因有好几种。我不想在这里做完整的解释,但从这个例子我们可以看到,编译之后我们就不再需要复杂的嵌套表达式了。我们只需要设计很简单的,只会做单操作算术的机器,就可以算出复杂的嵌套的表达式。实际上最后这段代码已经非常接近现代处理器(CPU)的汇编代码(assembly)。我们只需要多加一些转换,它就可以变成机器指令。
我们暂时不写编译器,因为你还缺少一些必要的知识。这当然也不是编译技术的所有内容,它还包含另外一些东西。但从这一开头,你就已经初步理解了编译器是什么,你只需要在将来加深这种理解。
Function(函数)
到目前为止,我们做的计算都是在已知的数字之上,而在现实的计算中我们往往有一些未知数。比如我们想要表达一个 “风扇控制器”,有了它之后,风扇的转速总是当前气温的两倍。这个“当前气温” 就是一个未知数。
我们的 “风扇控制器” 必须要有一个“输入”(input),用于得到当前的温度 t,它是一个温度传感器的读数。它还要有一个输出,就是温度的两倍。
那么我们可以用这样的方式来表达我们的风扇控制器:
不要把这想成任何一种程序语言,这只是我们自己的表达法。箭头 -> 的左边表示输入,右边表示输出,够简单吧。
你可以把 t 想象成从温度传感器出来的一根电线,它连接到风扇控制器上,风扇控制器会把它的输入(t)乘以 2。这个画面像这个样子:

我们谈论风扇控制器的时候,其实不关心它的输入是哪里来的,输出到哪里去。如果我们把温度传感器和风扇从画面里拿掉,就变成这个样子:

这幅图才是你需要认真理解的函数的计算图。你发现了吗,这幅图画正好对应了之前的风扇控制器的符号表示:t -> t*2。看到符号就想象出画面,你就得到了符号背后的模型。
像 t -> t*2 这样具有未知数作为输入的构造,我们把它叫做 function(函数)。其中 t 这个符号,叫做这个函数的参数。
Parameter(参数) 与 Variable(变量)
你可能发现了,函数的参数和我们之前了解的 “变量” 是很类似的,它们都是一个符号。之前我们用了 a, b, c, d, e 现在我们有一个 t,这些名字我们都是随便起的,只要它们不要重复就好。如果名字重复的话,可能会带来混淆和干扰。
其实参数和变量这两种概念不只是相似,它们的本质就是一样的。如果你深刻理解它们的相同本质,你的脑子就可以少记忆很多东西,而且它可能帮助你对代码做出一些有趣而有益的转化。在上一节你已经看到,我用 “电线” 作为比方来帮助你理解参数。你也可以用同样的方法来理解变量。
比如我们之前的变量 a:
它可以被想象成什么样的画面呢?

我故意把箭头方向画成从右往左,这样它就更像上面的代码。从这个图画里,你也许可以看到变量 a 和风扇控制器图里的参数 t,其实没有任何本质差别。它们都表示一根电线,那根电线进入乘法器,将会被乘以 2,然后输出。如果你把这些都看成是电路,那么变量 a 和参数 t 都代表一根电线而已。
然后你还发现一个现象,那就是你可以把 a 这个名字换成任何其它名字(比如 b),而这幅图不会产生实质的改变。

这说明什么问题呢?这说明以下的代码(把 a 换成了 b)跟之前的是等价的:
根据几乎一样的电线命名变化,你也可以对之前的函数得到一样的结论:t -> t*2 和 u -> u*2,和 x -> x*2 都是一回事。
名字是很重要的东西,但它们具体叫什么,对于机器并没有实质的意义,只要它们不要相互混淆就可以。但名字对于人是很重要的,因为人脑没有机器那么精确。不好的变量和参数名会导致代码难以理解,引起程序员的混乱和错误。所以通常说来,你需要给变量和参数起好的名字。
什么样的名字好呢?我会在后面集中讲解。
Named function(有名字的函数)
既然变量可以代表 “值”,那么一个自然的想法,就是让变量代表函数。所以就像我们可以写
我们似乎也应该可以写
对的,你可以这么做。f = t->t*2 还有一个更加传统的写法,就像数学里的函数写法:
请仔细观察 t 的位置变化。我们在函数名字的右边写一对括号,在里面放上参数的名字。
注意,你不可以只写
你必须明确的指出函数的参数是什么,否则你就不会明白函数定义里的 t 是什么东西。明确指出 t 是一个 “输入”,你才会知道它是函数的输入,是一个未知数,而不是在函数外面定义的其它变量。
这个看似简单的道理,很多数学家都不明白,所以他们经常这样写书:
有一个函数 y = x*2
这是错误的,因为他没有明确指出 “x 是函数 y 的参数”。如果这句话之前他们又定义过 x,你就会疑惑这是不是之前那个 x。很多人就是因为这些糊里糊涂的写法而看不懂数学书。这不怪他们,只怪数学家自己对于语言不严谨。
Function call(函数调用)
有了函数,我们可以给它起名字,可是我们怎么使用它的值呢?
由于函数里面有未知数(参数),所以你必须告诉它这些未知数,它里面的代码才会执行,给你结果。比如之前的风扇控制器函数
它需要一个温度作为输入,才会给你一个输出。于是你就这样给它一个输入:
你把输入写在函数名字后面的括号里。那么你就会得到输出:4。也就是说 f(2) 的值是 4。
如果你没有调用一个函数,函数体是不会被执行的。因为它不知道未知数是什么,所以什么事也做不了。那么我们定义函数的时候,比如
当看到这个定义的时候,机器应该做什么呢?它只是记录下:有这么一个函数,它的参数是 t,它需要计算 t*2,它的名字叫 f。但是机器不会立即计算 t*2,因为它不知道 t 是多少。
Branch(分支)
直到现在,我们的代码都是从头到尾,闷头闷脑地执行,不问任何问题。我们缺少一种 “问问题” 的方法。比如,如果我想表达这样一个“食物选择器”:如果气温低于 22 度,就返回 “hotpot” 表示今天吃火锅,否则返回 “ice cream” 表示今天吃冰激凌。
我们可以把它图示如下:

中间这种判断结构叫做 “分支”(branching),它一般用菱形表示。为什么叫分支呢?你想象一下,代码就像一条小溪,平时它沿着一条路线流淌。当它遇到一个棱角分明的大石头,就分成两个支流,分开流淌。
我们的判断条件 t < 22 就像一块大石头,我们的 “代码流” 碰到它就会分开成两支,分别做不同的事情。跟溪流不同的是,这种分支不是随机的,而是根据条件来决定,而且分支之后只有一支继续执行,而另外一边不会被执行。
我们现在看到的都是图形化表示的模型,为了书写方便,现在我们要从符号的层面来表示这个模型。我们需要一种符号表示法来表达分支,我们把它叫做 if(如果)。我们的饮料选择器代码可以这样写:
t -> if (t < 22)
{
"hotpot"
}
else
{
"ice cream"
}
它是一个函数,输入是一个温度。if 后面的括号里放我们的判断条件。后面接着条件成立时执行的代码块,然后是一个 else,然后是条件不成立时执行的代码。它说:如果温度低于 22 度,我们就吃火锅,否则就吃冰激凌。
其中的 else 是一个特殊的符号,它表示 “否则”。看起来不知道为什么 else 要在那里?对的,它只是一个装饰品。我们已经有足够的表达力来分辨两个分支,不过有了 else 似乎更加好看一些。很多语言里面都有 else 这个标记词在那里,所以我也把它放在那里。
这只是一个最简单的例子,其实那两个代码块里面不止可以写一条语句。你可以有任意多的语句,就像这样:
t ->
if (t < 22)
{
a = 4 + 3
b = a * 2
"hotpot"
}
else
{
x = "ice cream"
x
}
这段代码和之前是等价的,你知道为什么吗?
最后
Declaration(声明) 与 Definition(定义)
上面描述了很多计算机科学的基本要素,那么上面那么多字的描述,是如何定义的呢?~不定义一个东西,是没法使用它的~~~
在计算机编程中,Declaration(声明) 是一种语言结构,用以指定 Identifier(标识符) 的属性,i.e.声明一个词(标识符)代表什么,也就是说,将 Identifier(标识符) 绑定到某种概念上。
比如,用白话说就是:我声明,A 表示一个函数、B 表示一个字符串类型的变量,等等
Declaration 最常用于函数、变量、常量、类型定义 等等。Declaration 用于向编译器宣布实体的存在,在某些强类型的编程语言中,使用 函数、变量、常量 等等要素之前需要先 Declaration 它们,再使用比如 为变量赋值、调用函数 等等)。
在某些场景下,Declaration(声明) 与 Definition(定义) 这两个词比较容易混淆。
- 在非正式用法中
- Declaration 纯指声明(仅类型,无值或主体)
- Definition 指包含值或主体的声明。
- 在正式使用中
- Declaration 包含非正式用法中的两种含义。在 Declaration 的同时,有的时候我们会为标识符定义一个初始值。
上面的描述,把定义当做了赋值的行为。实际上,Definition 还有另外一种行为含义,这种行为应该是在 Declaration 之前的。比如下面的例子:
// 这里我们定义了一个类型与函数。定义时,指定了这些东西应该具有的属性
definition string XXXXX
definition func YYYYY
// 这里我们声明了一个类型与函数。
// 标识符A 绑定到了字符串
// 标识符B 绑定到了函数
var identifierA string
func iderntifierB(){
Do Something
}
// 此时我们可以使用这些已经声明的标识符
stringType = "Hello World"
DefinitionFunc()
也就是说,Definition(定义) 这个词更符合人类的日常用于,定义一个事物,就是对这个事物进行总结,就好比科学,我们通过观察自然界的现象,来定义一个科学定律,然后通过定律推导出定理。总结一下就是:
- Definition 用来指定 Type(类型)。不管是编程语言自带的基本类型,还是符合类型,甚至是自己自定义的类型,都称为“定义类型”
- Declaration 用来指定 Identifier(标识符),并将该 Identifier(标识符) 绑定到 Type(类型) 上。称为“声明标识符”
但是,在现代中,Declaration 与 Definition 经常会混用,经常会有人说:定义类型、声明类型、定义变量、声明变量、定义函数、声明函数 等等等等。
比如,当我们使用一个未声明的变量时,某些编程语言经常会提示 undefined(未定义)~o(╯□╰)o 其实,更准确的提示应该是 undeclared。
说的就是你,Go 语言,Declaration 与 Definition 不分~~~
不过除了这个编译器的错误提示有歧义以外,其它描述基本都是准确的,绝大部分都是 Declaration(声明),只有一个地方用到了 Definition(定义),主要就是在 Go 的参考中,可以看到 Type Declaration 与 Type Definition 之间的区别。也就是说,只有在描述一个新的类型时,才称为“定义类型”
- 比如
type XXXX struct,我们就称为 定义结构体,var structID XXXX,我们就称为声明 XXXX 类型结构体。
后记:
其实,定义类型这个行为,再扩展一下,也可以称为建模,这是 OOP(面向对象编程) 的基本要素。人们通过对现实世界的观察、总结,定义了很多基本类型,比如 数字、字符串、布尔 等等。这些基本类型都是一个个已经建立好的模型,只不过是最基本的,而我们可以使用这些基本模型,建立更复杂的模型。所以,定义类型 这个行为,从某种角度来看,就是建立模型。
Object(对象)
https://en.wikipedia.org/wiki/Object_(computer_science)
上文中的声明与定义的一个个目标,比如变量、数据结构、函数、等等等等,都可以理解为一个 Object(对象),这个对象应该包含一个值,并且由一个标识符引用。
- 在计算机科学中,对象可以是变量、数据结构、函数或方法。作为内存区域,对象包含一个值并由标识符引用。
- 在面向对象编程范式中,对象可以是变量、函数和数据结构的组合;特别是在基于类的范例变体中,对象指的是类的特定实例。
- 在数据库管理的关系模型中,对象可以是表或列,也可以是数据与数据库实体之间的关联(例如将人的年龄与特定人相关联)。
计算的要素
好了,现在你已经掌握了计算机科学的几乎所有基本要素。每一个编程语言都包括这些构造:
- 基础的数值。比如整数,字符串,布尔值等。
- 表达式。包括基本的算术表达式,嵌套的表达式。
- 变量和赋值语句。
- 分支语句。
- 函数和函数调用。
你也许可以感觉到,我是把这些构造按照 “从小到大” 的顺序排列的。这也许可以帮助你的理解。
现在你可以回想一下你对它们的印象。每当学习一种新的语言或者系统,你只需要在里面找到对应的构造,而不需要从头学习。这就是掌握所有程序语言的秘诀。这就像学开车一样,一旦你掌握了油门,刹车,换挡器,方向盘,速度表的功能和用法,你就学会了开所有的汽车,不管它是什么型号的汽车。
我们在这一章不仅理解了这些要素,而且为它们定义了一种我们自己的 “语言”。显然这个语言只能在我们的头脑里运行,因为我们没有实现这个语言的系统。在后面的章节,我会逐渐的把我们这种语言映射到现有的多种语言里面,然后你就能掌握这些语言了。
但是请不要以为掌握了语言就学会了编程或者学会了计算机科学。掌握语言就像学会了各种汽车部件的工作原理。几分钟之内,初学者就能让车子移动,转弯,停止。可是完了之后你还需要学习交通规则,你需要许许多多的实战练习和经验,掌握各种复杂情况下的策略,才能成为一个合格的驾驶员。如果你想成为赛车手,那就还需要很多倍的努力。
但是请不要被我这些话吓到了,你没有那么多的竞争者。现在的情况是,世界上就没有很多合格的计算机科学驾驶员,更不要说把车开得流畅的赛车手。绝大部分的 “程序员” 连最基本的引擎,油门,刹车,方向盘的工作原理都不明白,思维方式就不对,所以根本没法独自上路,一上路就出车祸。很多人把过错归结在自己的车身上,以为换一辆车马上就能成为好的驾驶员。这是一种世界范围的计算机教育的失败。
在后面的章节,我会引导你成为一个合格的驾驶员,随便拿一辆车就能开好。
什么是计算
现在你掌握了计算所需要的基本元素,可是什么是计算呢?我好像仍然没有告诉你。这是一个很哲学的问题,不同的人可能会告诉你不同的结果。我试图从最广义的角度来告诉你这个问题的答案。
当你小时候用手指算 4+3,那是计算。如果后来你学会了打算盘,你用算盘算 4+3,那也是计算。后来你从我这里学到了表达式,变量,函数,调用,分支语句…… 在每一新的构造加入的过程中,你都在了解不同的计算。
所以从最广义来讲,计算就是 “机械化的信息处理”。所谓机械化,你可以用手指算,可以用算盘,可以用计算器,或者计算机。这些机器里面可以有代码,也可以没有代码,全是电子线路,甚至可以是生物活动或者化学反应。不同的机器也可以有不同的计算功能,不同的速度和性能……
有这么多种计算的事实不免让人困惑,总害怕少了点什么,其实你可以安心。如果你掌握了上一节的 “计算要素”,那么你就掌握了几乎所有类型的计算系统所需要的东西。你在后面所需要做的只是加深这种理解,并且把它“对应” 到现实世界遇到的各种计算机器里面。
为什么你可以相信计算机科学的精华就只有这些呢?因为计算就是处理信息,信息有它诞生的位置(输入设备,固定数值),它传输的方式(赋值,函数调用,返回值),它被查看的地方(分支)。你想不出对于信息还有什么其它的操作,所以你就很安心的相信了,这就是计算机科学这种 “棋类游戏” 的全部规则。
反馈
此页是否对你有帮助?
Glad to hear it! Please tell us how we can improve.
Sorry to hear that. Please tell us how we can improve.